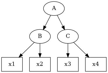
BN diagram
Материал из Поле цифровой дидактики
| Описание | Диаграмма использования Байесовских сетей в оценивании
|
|---|---|
| Область знаний | Педагогика, Образование, Управление |
| Среды для создания диаграммы: | Graphviz |

- Circles represent latent variables, and boxes represent observed variables.
1. Culbertson M. J. Bayesian Networks in Educational Assessment // Applied Psychological Measurement. 2016. № 1 (40). C. 3–21.
